雷火在线> >重庆高考 >重庆高校招生 >重庆高校分数线 >

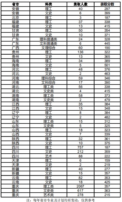
2019重庆电子工程职业学院各省录取分数线一览表

时间: 高校分数线

在高考填报志愿的时候,小伙伴们和家长朋友们最关心的就是院校的排名及录取分数线的情况,今天小编就给大家整理了关于2019年重庆电子工程职业学院在各省的录取分数线及相关内容,供大家参考。

重庆电子工程职业学院录取分数线

王牌专业

国家示范院校项目建设专业(3个):微电子技术、信息安全技术、通信技术

国家职业教育实训基地项目专业(3个):应用电子技术、汽车检测与维修、楼宇智能化工程技术

国家专业服务产业发展能力项目专业(2个):物联网应用技术、机电设备维修与管理

国家教改试点专业(1个):电子声像技术

专业推荐

工程造价

通信技术

软件设计

计算机网络技术

材料工程技术

会计

建筑智能化工程技术

环境艺术设计

电子信息工程技术

物流管理