雷火在线> >高考复习 >高中数学 >

三角函数二倍角公式及两角和差公式

时间: 高中数学

二倍角公式是数学三角函数中常用的一组公式,通过角α的三角函数值的一些变换关系来表示其二倍角2α的三角函数值,二倍角公式包括正弦二倍角公式、余弦二倍角公式以及正切二倍角公式。

三角函数二倍角公式及两角和差公式

三角函数二倍角公式

三角函数二倍角公式及两角和差公式

正弦公式及推导过程

三角函数二倍角公式及两角和差公式

三角函数二倍角公式及两角和差公式

余弦公式及推导过程

三角函数二倍角公式及两角和差公式

三角函数二倍角公式及两角和差公式

正切公式及推导过程

三角函数二倍角公式及两角和差公式

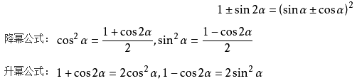
三角函数二倍角公式及两角和差公式

二倍角公式变形公式

三角函数二倍角公式及两角和差公式

二倍角公式成立条件

(1)在正弦和余弦二倍角公式中,角α可以为任意角,但正切二倍角公式中,只有当α≠π/2+kπ及α≠π/4+kπ/2(k∈z)时才成立;

(2)倍角公式不限于2α是α的二倍形式,其它如4α是2α都是适用的。

三角函数二倍角公式诱导公式

余切、正割、余割二倍角公式:

三角函数二倍角公式及两角和差公式