雷火在线福建高考数学试题搜索2019福建高考理科数学" />
雷火在线> >福建高考 >福建高考试题 >福建数学试题 >

2019福建高考理科数学试题及答案【Word真题试卷】

时间: 数学试题

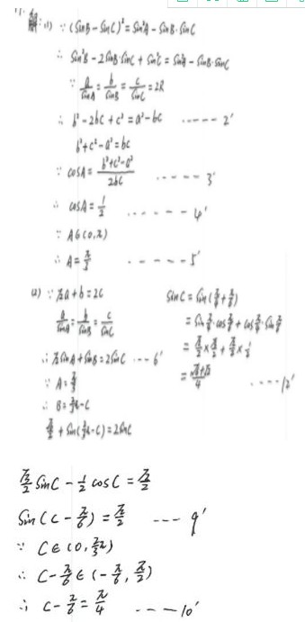
2019福建高考理科数学试题及答案【Word真题试卷】2019福建高考理科数学试题及答案【Word真题试卷】2019福建高考理科数学试题及答案【Word真题试卷】2019福建高考理科数学试题及答案【Word真题试卷】2019福建高考理科数学试题及答案【Word真题试卷】2019福建高考理科数学试题及答案【Word真题试卷】2019福建高考理科数学试题及答案【Word真题试卷】2019福建高考理科数学试题及答案【Word真题试卷】2019福建高考理科数学试题及答案【Word真题试卷】2019福建高考理科数学试题及答案【Word真题试卷】2019福建高考理科数学试题及答案【Word真题试卷】

 

答案

1、  C

 

2、  C

 

3、  B

 

4、  B

 

5、  D

 

6、  A

 

7、  B

 

8、  A

 

9、  A

 

10、  B

 

11、  C

 

12、  D

 

13、  y=3x

2019福建高考理科数学试题及答案【Word真题试卷】

15、0.18

16、2

2019福建高考理科数学试题及答案【Word真题试卷】

 

2019福建高考理科数学试题及答案【Word真题试卷】

2019福建高考理科数学试题及答案【Word真题试卷】

 

2019福建高考理科数学试题及答案【Word真题试卷】

2019福建高考理科数学试题及答案【Word真题试卷】

 

 

 

 

 

2019福建高考理科数学试题及答案【Word真题试卷】

2019福建高考理科数学试题及答案【Word真题试卷】

2019福建高考理科数学试题及答案【Word真题试卷】

2019福建高考理科数学试题及答案【Word真题试卷】

2019福建高考理科数学试题及答案【Word真题试卷】

2019福建高考理科数学试题及答案【Word真题试卷】