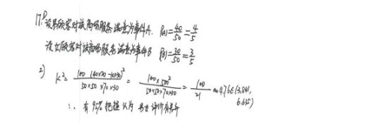
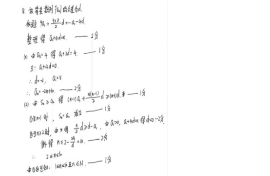
2019福建高考文科数学试题及答案【Word真题试卷】 时间:2019-06-08 16:19 数学试题 全国1卷文科数学答案解析 1C 2C 3B 4B 5D 6C 7D 8B 9A 10D 11A 12B 13、y=3x14、15、-x16、 MK官网 | 博业体育(中国)官方网站-登录入口 | 好博在线客服 | 半岛网页版页面 | AK集团官网(中国)官方网站 | 江南·官方端网站登录入口 | AK官方网站 | IM官方网页版 | 米乐在线 |