雷火在线贵州高考数学试题搜索2019贵州高考理科数学" />
雷火在线> >贵州高考 >贵州高考试题 >贵州数学试题 >

2019贵州高考理科数学试题及答案【Word真题试卷】

时间: 数学试题

2019普通高等学校招生全国统一考试

理科数学

注意事项:

1.答卷前,考生务必用黑色碳素笔将自己的姓名、准考证号、考场号、座位号填写在答题卡上,并认真核准条形码上的准考证号、姓名、考场号、座位号及科目,在规定的位置贴好条形码。

2.回答选择题时,选出每小题答案后,用铅笔把答题卡上对应题目的答案标号涂黑。如需改动,用橡皮擦干净后,再选涂其他答案标号。回答非选择题时,将答案写在答题卡上。写在本试卷上无效。

3.考试结束后,将本试卷和答题卡一并交回。

一、 选择题:本题共12小题,每小题5分,共60分。在每小题给出的四个选项中,只有一项是符合题目要求的。

2019贵州高考理科数学试题及答案【Word真题试卷】

A.{-1,0,1}

B.{0,1}

C.{-1,1}

D.{0,1,2}

  1. 若z(1+i)=2i,则z

2019贵州高考理科数学试题及答案【Word真题试卷】

A.-1-i

B.-1+i

C.1-i

D.1+i

3.《西游记》《三国演义》《水浒传》和《红楼梦》是中国古典文学瑰宝,并成为中国古典小说四大名著。某中学为了了解本小学生阅读四大名著的情况,随机调查看了100位学生,期中阅读过《西游记》或《红楼梦》的学生共有90位,阅读过《红楼梦》的学生共有80位,阅读过《西游记》且阅读过《红楼梦》的学生共有60位,则该学校阅读过《西游记》的学生人数与该学校学生总数比值的估计值为

A.0.5

B.0.6

C.0.7

D.0.8

2019贵州高考理科数学试题及答案【Word真题试卷】

2019贵州高考理科数学试题及答案【Word真题试卷】

2019贵州高考理科数学试题及答案【Word真题试卷】

2019贵州高考理科数学试题及答案【Word真题试卷】

2019贵州高考理科数学试题及答案【Word真题试卷】

2019贵州高考理科数学试题及答案【Word真题试卷】

2019贵州高考理科数学试题及答案【Word真题试卷】

 

数学答案

1A 2D 3C 4A 5C 6B 7B 8B 9C 10A 11C 12D

13、2/3

14、4

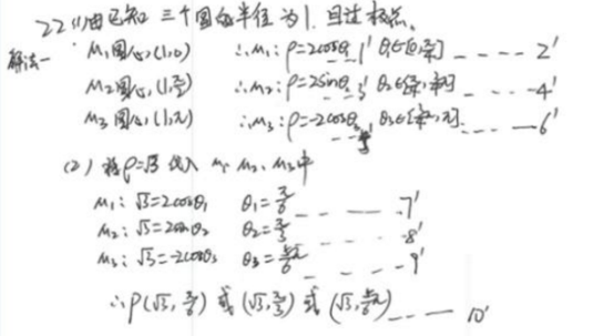
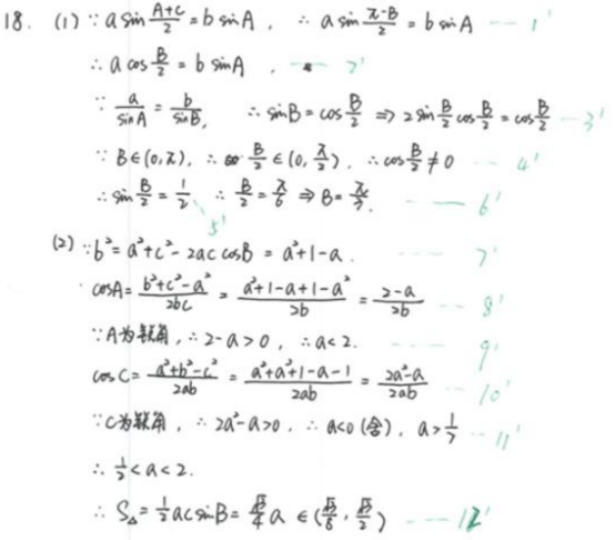
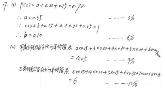
2019贵州高考理科数学试题及答案【Word真题试卷】

16、118.8

2019贵州高考理科数学试题及答案【Word真题试卷】

2019贵州高考理科数学试题及答案【Word真题试卷】

2019贵州高考理科数学试题及答案【Word真题试卷】

2019贵州高考理科数学试题及答案【Word真题试卷】

2019贵州高考理科数学试题及答案【Word真题试卷】

2019贵州高考理科数学试题及答案【Word真题试卷】

2019贵州高考理科数学试题及答案【Word真题试卷】

2019贵州高考理科数学试题及答案【Word真题试卷】

2019贵州高考理科数学试题及答案【Word真题试卷】

2019贵州高考理科数学试题及答案【Word真题试卷】

2019贵州高考理科数学试题及答案【Word真题试卷】

2019贵州高考理科数学试题及答案【Word真题试卷】