雷火在线黑龙江高考数学试题搜索" />
雷火在线> >黑龙江高考 >黑龙江高考试题 >黑龙江数学试题 >

2019黑龙江高考文科数学试题及答案【word真题试卷】

时间: 数学试题

2019黑龙江高考文科数学试题及答案【word真题试卷】绝密★启用前

2019年普通高等学校招生全国统一考试

文科数学

本试卷共5页。考试结束后,将本试卷和答题卡一并交回。

注意事项:

1.答题前,考生先将自己的姓名、准考证号码填写清楚,将条形码准确粘贴在考生信息条形码粘贴区。

2.选择题必须使用2B铅笔填涂;非选择题必须使用0.5毫米黑色字迹的签字笔书写,字体工整、笔迹清楚。

3.请按照题号顺序在答题卡各题目的答题区域内作答,超出答题区域书写的答案无效;在草稿纸、试卷上答题无效。

4.作图可先使用铅笔画出,确定后必须用黑色字迹的签字笔描黑。

5.保持卡面清洁,不要折叠,不要弄破、弄皱,不准使用涂改液、修正带、刮纸刀。

一、选择题:本题共12小题,每小题5分,共60分.在每小题给出的四个选项中,只有一项是正确的。2019黑龙江高考文科数学试题及答案【word真题试卷】

7.设α,β为两个平面,则α∥β的充要条件是

A.α内有无数条直线与β平行

B.α内有两条相交直线与β平行

C.α,β平行于同一条直线

D.α,β垂直于同一平面

2019黑龙江高考文科数学试题及答案【word真题试卷】

14.我国高铁发展迅速,技术先进.经统计,在经停某站的高铁列车中,有10个车次的正点率为0.97,有20个车次的正点率为0.98,有10个车次的正点率为0.99,则经停该站高铁列车所有车次的平均正点率的估计值为___________.

2019黑龙江高考文科数学试题及答案【word真题试卷】

2019黑龙江高考文科数学试题及答案【word真题试卷】

(二)选考题:共10分.请考生在第22、23题中任选一题作答。如果多做,则按所做的第一题计分.

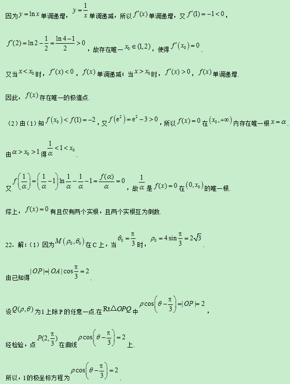
22.[选修4-4:坐标系与参数方程](10分)

2019黑龙江高考文科数学试题及答案【word真题试卷】2019黑龙江高考文科数学试题及答案【word真题试卷】

2019黑龙江高考文科数学试题及答案【word真题试卷】

 

2019黑龙江高考文科数学试题及答案【word真题试卷】

2019黑龙江高考文科数学试题及答案【word真题试卷】