雷火在线> >广东高考 >广东高考资讯 >广东分数线 >

2020广东本科普通批文理类投档分数线

时间: 分数线

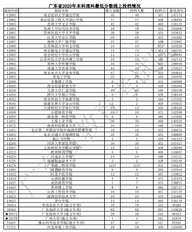
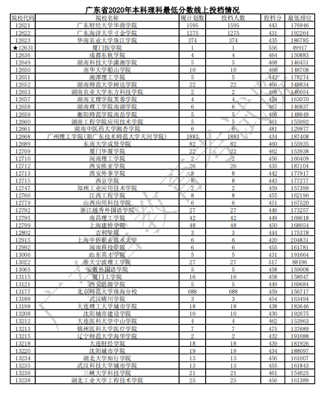
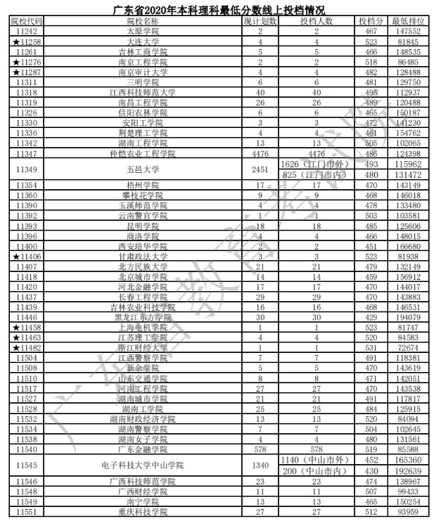
根据招生录取日程安排,2020年广东高考本科批次院校录取将于21日结束。目前,广东本科普通批次文理科投档分数线已经公布,下面小编为大家详细介绍一下,供大家参考。

广东本科普通批投档分数线

文科投档分数线

理科投档分数线