雷火在线青海高考数学试题搜索2021年青海高考文科数学真题2021-06-08 09:23:44文/丁雪竹如有排版混乱问题,请点击下方下载选择" />
雷火在线> >青海高考 >青海高考试题 >青海数学试题 >

2021年青海高考文科数学真题

时间: 数学试题

如有排版混乱问题,请点击下方下载

选择题:本题共12小题,每小题5分,总共60分。在每小题给出的四个选项中,只有一项是符合题目要求的。

已知全集U={1,2,3,4,5},集合M={1,2},N={3,4},则Cu(MUN)=

A.{5}

B.{1,2}

C.{3,4}

D.{1,2,3,4}

2.设iz=4+3i,则z等于

A.-3-4i

B.-3+4i

C.3-4i

D.3+4i

3.已知命题,sinx<1,命题e|x|1,则下列命题中为真命题的是

A.pq

B.pq

C.pq

D.(pq)

4.函数f(x)=sin+cos的最小正周期和最大值分别是

A.3

B.3和2

C.

D.和2

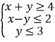
5.若x,y满足约束条件,则z=3x+y的最小值为

A.18

B.10

C.6

D.4

6.

A.

B.

C.

D.

7.在区间(0,)随机取1个数,则取到的数小于的概率为

A.

B.

C.

D.

8.下列函数中最小值为4的是

A.

B.

C.

D.

9.设函数,则下列函数中为奇函数的是

A.

B.

C.

D.

10.在正方体ABCD-A1B1C1D1,P为B1D1的重点,则直线PB与AD1所成的角为

A.

B.

C.

D.

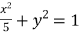
11.设B是椭圆C:的上顶点,点P在C上,则|PB|的最大值为

A.

B.

C.

D.2

12.设,若为函数f(x)=的极大值点,则

A.a<b

B.a>b

C.ab<

D. ab>

二、填空题:本题共4小题,每小题5分,共20分

13.已知向量a=(2,5),b=(λ,4),若,则λ=________.

14.双曲线的右焦点到直线x+2y-8=0的距离为_________.

15.记的内角A,B,C的对边分别为a,b,c,面积为,B=,则b=_______.

16.以图①为正视图,在图②③④⑤中选两个分别作为侧视图和俯视图,组成某个三棱锥的三视图,则所选侧视图和俯视图的编号依次为       (写出符合要求的一组答案即可)。

三、解答题

(一)必考题

17.(12分)

某厂研制了一种生产高精产品的设备,为检验新设备生产产品的某项指标有无提高,用一台旧设备和一台新设备各生产了10件产品,得到各件产品该项指标数据如下:

旧设备和新设备生产产品的该项指标的样本平均数分别为,样本方差分别记为.

(1)求

(2)判断新设备生产产品的该项指标的均值较旧设备是否有显著提高(如果),则认为新设备生产产品的该项指标的均值较旧设备有显著提高,否则不认为有显著提高).

18. (12分)

如图,四棱锥P-ABCD的底面是矩形,PD底面ABCD,M为BC的中点,且PBAM.

证明:平面PAM平面PBD;

若PD=DC=1,求四棱锥P-ADCD的体积.

 

19.(12分)

是首项为1的等比数列,数列满足,已知,3,9成等差数列.

(1)求的通项公式;

(2)记分别为的前n项和.证明:<.

20.(12分)

已知抛物线C:(p>0)的焦点F到准线的距离为2.

求C的方程.

已知O为坐标原点,点P在C上,点Q满足,求直线OQ斜率的最大值.

 

21.(12分)

 已知函数.

 (1)讨论的单调性;

 (2)求曲线过坐标原点的切线与曲线的公共点的坐标.

(二)选考题:共10分。请考生在第22、23题中任选一题作答。如果多做,则按所做的第一题计分。

22.[选修4-4:坐标系与参数方程](10分)

 在直角坐标系中,的圆心为,半径为1.

 (1)写出的一个参数方程。

 (2)过点的两条切线,以坐标原点为极点,轴正半轴为极轴建立极坐标系,求这两条切线的极坐标方程。

23.[选修4-5:不等式选讲](10分)

 已知函数.

 (1)当时,求不等式的解集;

 (2)若,求的取值范围.