雷火在线> >浙江高考 >浙江高考资讯 >浙江分数线 >

2020浙江高考一分一段表 艺术类第二段成绩排名

时间: 分数线

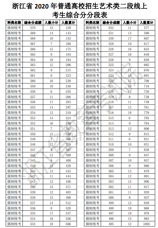
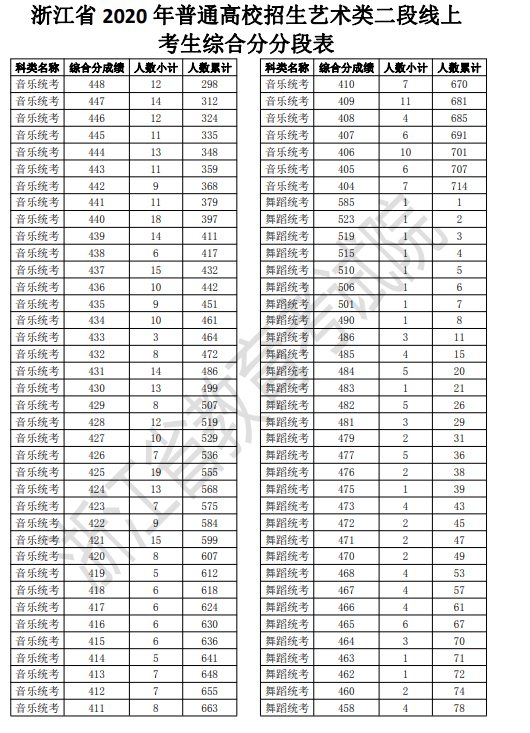
根据浙江省普通高校招生工作进程,目前,浙江省2020年普通高校招生艺术类二段线成绩分数段表已经公布。下面小编为大家详细介绍一下,供大家参考。

浙江高考艺术类第二段成绩排名