雷火在线> >山西高考 >山西高考资讯 >山西分数线 >

2020山西高考二本A类院校投档线公布

时间: 分数线

山西高考二本A类院校投档线已经公布,考生们要及时查看,这样会比较放心,具体来看一下:

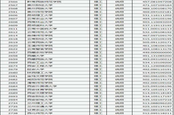
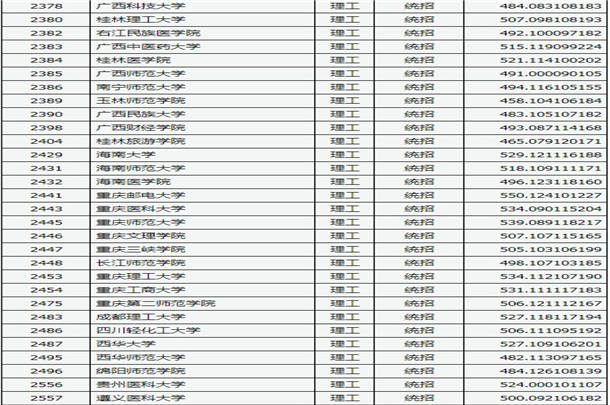
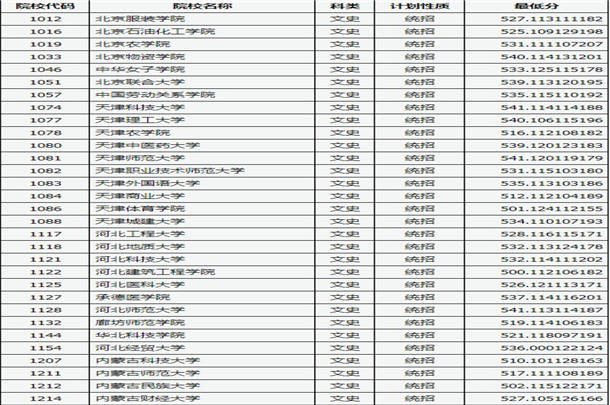
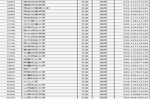
山西高考二本A类院校投档线公布

文史类

理工类