雷火在线> >高考复习 >高中数学 >

高中数学最全公式汇总2022

时间: 高中数学

学好数学的第一步是“记住并深刻理解公式”,这样在做题时才会有货。

高中数学最全公式一览

1.几何与常用逻辑用语

2.复数

3.平面向量

4.算法、推理与证明

5.不等式、线性规划

6.排列组合与二项式定理

7.函数、基本初等函数的图像与性质

8.函数与方程,函数模型及其应用

9.导数及其应用

10.三角函数的图形与性质

11.三角恒等变化与解三角形

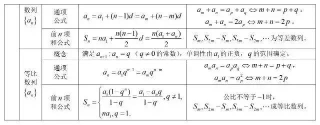
12.等差数列、等比数列

13.数列求和及数列的简单应用

14.空间几何体

15.空间点、直线、平面位置关系

16.空间向量与立体几何

17.直线与圆的方程

18.圆锥曲线的定义、方程与性质

19.圆锥曲线的热点问题

20.概率

21.离散型随机变量及其分布

22.统计与统计案例

23.函数与方程思想,数学结合思想

24.分类与整合思想,化归与转化思想

25.坐标系与参数方程

26.不等式选讲

提高数学成绩的方法

第一、吃苦。学习是孩子自己的事情,别人帮不了你。而且学习本身就是一个很苦的事情,所以,要自己做好吃苦的准备,刻苦钻研,每天努力。

第二、精读教材。现在很多孩子学习成绩不理想,有一个很大部分的原因,就是他自己连教材是什么样子的,都没有认真看过。学校老师,可能上课也是用的导学案,然后孩子课前也没有预习,课后也没有认真的精读教材,进行内容消化。

我们应该把教材上的内容要烂熟于心,定义是怎么引入的?定理似乎怎么证明的?数学公式是怎么推导的?你一定要理解透彻。这些几何定理,你自己要能够证明,公式你自己要能够推导出来。这是最基础的。你合上书本,就知道每一章节,有哪些主要内容,非常的熟练。

这些就是你下锅煮饭的米啊。有些同学说,老师上课的时候听得懂,老师讲题的时候,自己立马就会,但是自己做题就是想不到。那就是你不熟练内容。就好比,你妈妈叫你煮饭,你妈妈在旁边的时候,你会洗米,会打火,你洗菜,会放盐。但是你妈妈一离开厨房,你米也找不到,盐也不知道放哪里了。因为你不熟练厨房。

所以,需要你熟悉教材的每一个角落,每一句话你都要理解透彻。