雷火在线> >高考复习 >高中数学 >

定积分怎么算 有哪些方法

时间: 高中数学

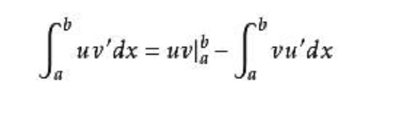
求定积分主要的方法有分部积分法和换元积分法。分部积分法是由微分的乘法法则和微积分基本定理推导而来的。它的主要原理是将不易直接求结果的积分形式,转化为等价的易求出结果的积分形式的。

定积分怎么算

分部积分法

设u=u(x),v=v(x)均在区间[a,b]上可导,且u′,v′∈R([a,b]),则有分部积分公式:

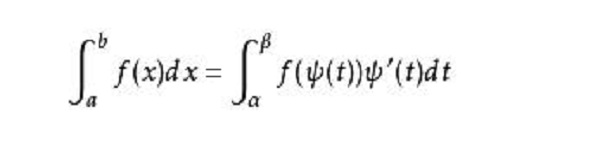
换元积分法

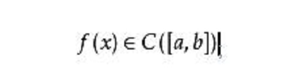
如果(1)

(2)x=ψ(t)在[α,β]上单值、可导;

(3)当α≤t≤β时,a≤ψ(t)≤b,且ψ(α)=a,ψ(β)=b,则

定积分的性质