等比数列的前n项和公式及推导过程
时间:
高中数学
高中数列是非常重要的考点,关于数列的考题虽然表面看去变化多样,但看其本质,可归结为两大类:求一个数列的通项an,求一个数列的前n项和。这篇文章就针对等差和等比数列求和公式给出推导和证明过程。
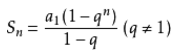
等比数列前n项和公式
公式中a1为数列首项,q为等比数列的公比,Sn为前n项和。
高中数列是非常重要的考点,关于数列的考题虽然表面看去变化多样,但看其本质,可归结为两大类:求一个数列的通项an,求一个数列的前n项和。这篇文章就针对等差和等比数列求和公式给出推导和证明过程。
公式中a1为数列首项,q为等比数列的公比,Sn为前n项和。