雷火在线> >高考复习 >高中数学 >

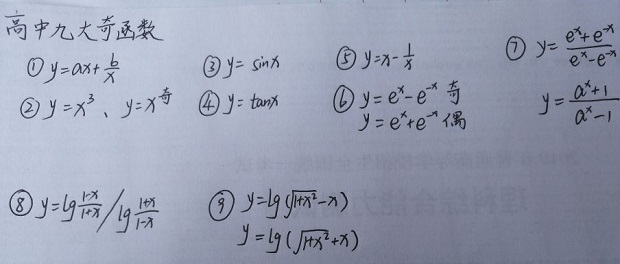
高中常考的九大奇函数和偶函数

时间: 高中数学

奇函数是指对于一个定义域关于原点对称的函数f(x)的定义域内任意一个x,都有f(-x)= - f(x),那么函数f(x)就叫做奇函数。

高考常考九大奇函数

常见函数的奇偶性

正比例函数 奇函数

反比例函数 奇函数

正弦函数 奇函数

余弦函数 偶函数一次函数

b不为0的 非奇非偶 幂函数

三种都有可能:指数为偶数的,偶函数

正奇数的,奇函数

负奇数的,只在第一象限有图象,非奇非偶

指数函数,非奇非偶

正切函数,奇函数

奇函数:

1.图象与y点对称

2.定义域对称

3.函数x的指数全为奇数

偶函数:

1.图象与y轴对称

2.定义域对称

3.函数x的指数全为偶数