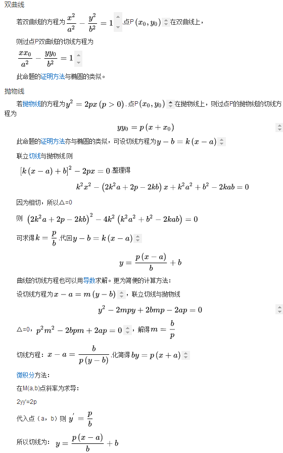
怎么求切线方程及例题
时间:
高中数学
切线方程是研究切线以及切线的斜率方程,涉及几何、代数、物理向量、量子力学等内容。是关于几何图形的切线坐标向量关系的研究。分析方法有向量法和解析法。
切线方程怎么求
首先求切线的斜率,
y=x²+3x-1
y’=2x+3
当x=1时,y’=5,也就是切线的斜率为5,
再将x=1带入原方程,y=1+3-1=3
即这个点是(1,3)
所以切线方程就是y-3=5(x-1)
y=5x-5+3
y=5x-2
这就是切线方程
切线方程是研究切线以及切线的斜率方程,涉及几何、代数、物理向量、量子力学等内容。是关于几何图形的切线坐标向量关系的研究。分析方法有向量法和解析法。
首先求切线的斜率,
y=x²+3x-1
y’=2x+3
当x=1时,y’=5,也就是切线的斜率为5,
再将x=1带入原方程,y=1+3-1=3
即这个点是(1,3)
所以切线方程就是y-3=5(x-1)
y=5x-5+3
y=5x-2
这就是切线方程