雷火在线> >高考复习 >高中数学 >

分析!近5年高考数学试卷100个典型题型,逢考必出!

时间: 高中数学

分析近5年高考数学试卷,发现这100个题型,逢考必出!建议打印!

高中数学,定期梳理课本考点与重点题型,是学好高中数学必要的步骤!千万别小看这一点,学完某一章考点,梳理过后能让我们对整体知识有一个系统的把控,而且也能找出自己哪些地方还没理解或者记牢!然后有针对性地复习!

而梳理题型,也能够让我们对所学考点的高频考法,有一定的了解,刷题有侧重点,避免陷入盲目刷题的误区!数学偏科,往往不是你不努力,而是败在学习的细节与习惯上!

下面是分析了近5年高考数学试卷,总结出的100个高频题型(含解析),几乎逢考必出,都很典型,吃透,相当于将核心考点梳理一遍,建议高中生人手一份,家长给孩子打印复习!








2.集合





3.平面向量







4.数学文化













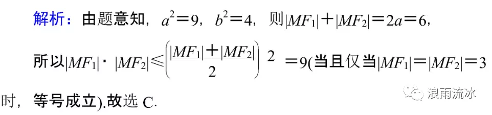
5.圆锥曲线













篇幅有限,今天就分享到这里