2022云南高考一分一段统计表(高考成绩分段位次查询)
时间:
分数线
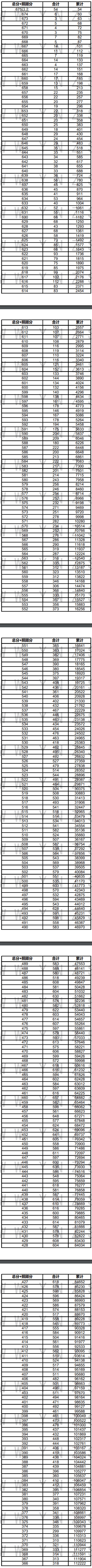
2022云南高考成绩一分一段表,是作为云南考生填报大学的重要依据,了解自己在2022年云南高考中的成绩分段位次,本站为同学们整理了2022年云南高考一分一段统计表,这样广大考生就能清楚自己高考成绩在省内排名位置,为接下来的志愿填报做好有效参考。

2022年云南高考一分一段统计表
截至目前,2022年云南高考一分一段统计表已公布,请点击进入查看:
2022年云南高考一分一段统计及分段位次查询表(文科+理科)
下面为同学们整理出2021年云南高考一分一段统计表,以做为对比和参考。
2021年云南高考一分一段表
理科一分一段表
文科一分一段表
位次比分数重要
由于每年的高考试题难易程度不尽相同,录取分数线每年都会存在一定的波动,如果仅仅参考高考分数来填报志愿,往往会存在比较大的风险。
位次这个概念的出现,其实是为了对考生的成绩进行更加精确的排位。每年成绩公布之后,某一个考试分数可能对应很多个学生,但每一位学生的位次都是唯一的,不会存在重复的现象。
考生在知道自己的高考位次之后,再根据目标大学近3年或者近5年的录取位次的区间来判断自己被这所高校录取的概率有多大,是比较科学的做法。