2021年八省联考湖南物理试题及答案
时间:
理综试题
2021年八省联考湖南物理试题及答案
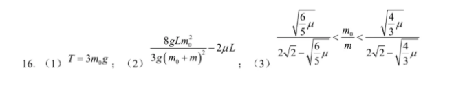
参考答案
1-6ADCDCC
7.BD
8.BC
9.BCD
10.AC
11.BCE
12.ACE
MK官网 | 博业体育(中国)官方网站-登录入口 | 好博在线客服 | 半岛网页版页面 | AK集团官网(中国)官方网站 | 江南·官方端网站登录入口 | AK官方网站 | IM官方网页版 | 米乐在线 |
湖南高考理综试题搜索2021年八省联考湖南物理试题及答案2021-02-02 15:36:23文/李文源2021年八省联考湖南物理试题及" />
2021年八省联考湖南物理试题及答案
参考答案
1-6ADCDCC
7.BD
8.BC
9.BCD
10.AC
11.BCE
12.ACE