雷火在线 >江西高考 >江西高考复习 >江西高中化学 >

景德镇市2024-2025学年高二上学期11月期中化学试题及答案

时间: 江西 高中化学

山东菏泽2024-2025学年高二上学期期中化学考试已于近日开考,为方便考生考后及时查看考试情况,查漏补缺、弥补不足,本文整理了试题答案解析相关信息!

汇总:景德镇市2024-2025学年高二上学期11月期中试题及答案汇总

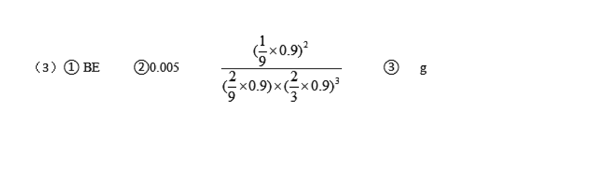
化学试题及答案解析