雷火在线> >高考复习 >高中数学 >

整式的乘法

时间: 高中数学

整式的乘法与分解因式为相反变形。因式分解:把一个多项式化为几个最简整式的乘积的形式,这种变形叫做把这个多项式因式分解,也叫作分解因式。

整式的乘法

整式的乘法知识点

1.同底数幂的乘法

同底数幂相乘,底数不变,指数相加。当三个或三个以上同底数幂相乘时,仍适用法则。

2.幂的乘方

幂的乘方,底数不变,指数相乘。

3.积的乘方

积的乘方,等于把积中的每个因式分别乘方,再把所得的幂相乘。这个性质适用于三个或三个以上因式的积的乘方。

4.单项式乘以单项式

系数乘以系数作为积中的系数,所有不同因式都作为积中的因式,相同字母或相同因式的指数由该字母或因式的指数和为它们的指数。三个或三个以上的单项式相乘,法则仍适用。

5.单项式乘以多项式

单项式与多项式相乘,就是根据分配律用单项式去乘多项式的每一项,再把所得的积相加。单项式与多项式的积仍是一个多项式,项数与原多项式的项数相同。

6.多项式乘以多项式

多项式乘以多项式,先用一个多项式的每一项分别乘以另一个多项式的每一项,再把所得的积相加。

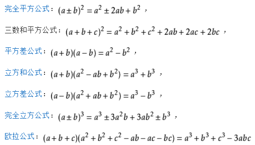
整式乘法常用公式

整式的乘法