雷火在线> >高考复习 >高中数学 >

韦达定理公式变形6个

时间: 高中数学

韦达定理公式变形:x1²+x2²=(x1+x2)²-2x1x2,1/x1²+1/x2²=(x1²+x2²)/x1x2,x1³+x2³=(x1+x2)(x1²-x1x2+x2²)等。

韦达定理公式变形6个

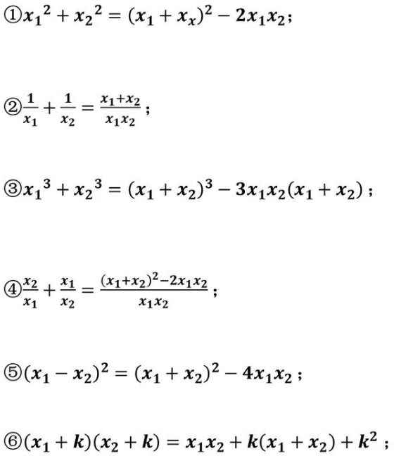
与韦达定理有关的恒等变形

韦达定理公式变形6个

韦达定理公式

韦达定理:两根之和等于-b/a,两根之差等于c/a.

x1*x2=c/a

x1+x2=-b/a

韦达定理说明了一元二次方程中根和系数之间的关系。

法国数学家弗朗索瓦·韦达于1615年在著作《论方程的识别与订正》中建立了方程根与系数的关系,提出了这条定理。由于韦达最早发现代数方程的根与系数之间有这种关系,人们把这个关系称为韦达定理。