乐山市2025届高三下第三次调查研究数学试题及答案
时间:
四川 数学试题
乐山市2025届高三下第三次调查研究数学考试已于近日开考,为方便考生考后及时查看考试情况,查漏补缺、弥补不足,本文整理了试题答案解析相关信息!
汇总:乐山市2025届高三下第三次调查研究考试试题及答案汇总
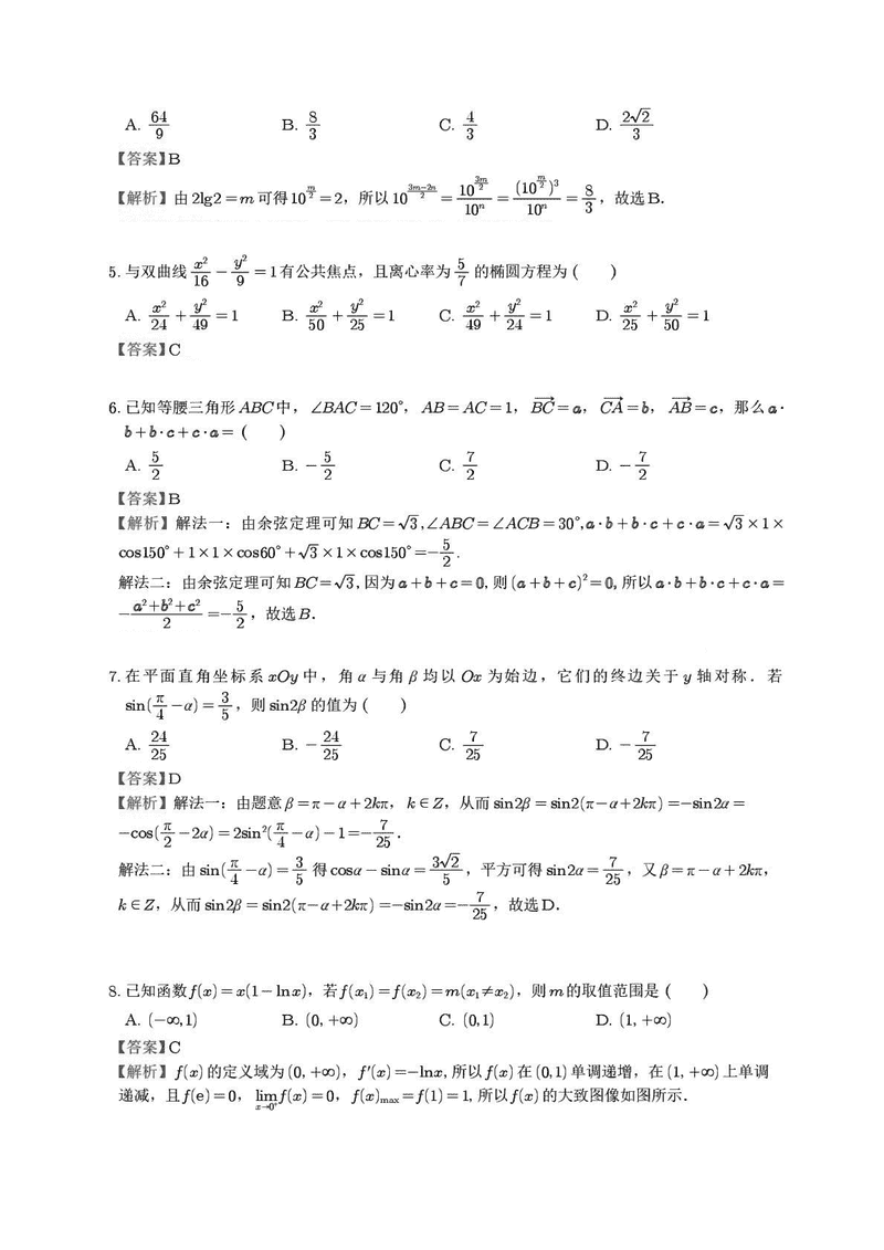
数学试题及答案解析
乐山市2025届高三下第三次调查研究数学考试已于近日开考,为方便考生考后及时查看考试情况,查漏补缺、弥补不足,本文整理了试题答案解析相关信息!
汇总:乐山市2025届高三下第三次调查研究考试试题及答案汇总
数学试题及答案解析