雷火在线> >高考复习 >高中数学 >

x的导数为什么是1

时间: 高中数学

x'=lim(△x→0)[(x+△x)-x]/(△x)=lim(△x→0)(△x)/(△x)=1。不是所有的函数都有导数,一个函数也不一定在所有的点上都有导数。

x的导数为什么是1

什么是导数

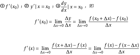
设函数y=f(x)在点x0的某个邻域内有定义,当自变量x在x0处有增量Δx,(x0+Δx)也在该邻域内时,相应地函数取得增量Δy=f(x0+Δx)-f(x0);如果Δy与Δx之比当Δx→0时极限存在,则称函数y=f(x)在点x0处可导,并称这个极限为函数y=f(x)在点x0处的导数记作

x的导数为什么是1

导数公式及运算法则

八个公式

y=c(c为常数)y'=0;

y=x^ny'=nx^(n-1);

y=a^xy'=a^xlnay=e^xy'=e^x;

y=logaxy'=logae/xy=lnxy'=1/x;

y=sinxy'=cosx;

y=cosxy'=-sinx;

y=tanxy'=1/cos^2x;

y=cotxy'=-1/sin^2x。

运算法则:

加(减)法则:[f(x)+g(x)]'=f(x)'+g(x)'

乘法法则:[f(x)*g(x)]'=f(x)'*g(x)+g(x)'*f(x)

除法法则:[f(x)/g(x)]'=[f(x)'*g(x)-g(x)'*f(x)]/g(x)^2