雷火在线> >高考复习 >高中数学 >

求平均值的公式

时间: 高中数学

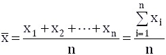
(x1+x2+……xn)/n。在统计工作中,平均数(均值)和标准差是描述数据资料集中趋势和离散程度的两个最重要的测度值。平均值有算术平均值,几何平均值,平方平均值(均方根平均值,rms),调和平均值,加权平均值等,其中以算术平均值最为常见。

求平均值的公式

平均值分类计算

平均值,有算术平均值,几何平均值,平方平均值(均方根平均值,rms),调和平均值,加权平均值等。

其中以算术平均值最为常见,计算方法为:

求平均值的公式

几何平均值的计算方法为:

求平均值的公式

值得注意的是,几何平均值是相对于正数而言的,也就是说上面的X1,X2,..Xn必须是正数。

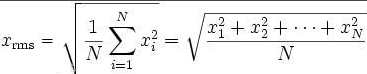
均方根平均值计算方法为

求平均值的公式

调和平均值计算方法为:N/(1/x1+1/x2+...+1/xn)

加权平均值算法为

求平均值的公式

平均值怎么算

计算平均值,一般常用的有两种方法:一种是简单平均法,一种是加权平均法。例如,某企业生产A产品10台,单价100元;生产B产品5台,单价50元;生产C产品3台,单价30元,计算平均价格。简单平均法:平均价格=∑各类产品单价/产品种类。

平均价格=(100+50+30)/3 =60(元)。加权平均法:平均价格=∑(产品单价×产品数量)/∑(产品数量)。

平均价格=(100×10+50×5+30×3)/(10+5+3)=74.44(元)可以看出,简单平均与加权平均计算出来的平均值差距较大,而后者更贴近事实,属于精确计算。