tanx的导数
时间:
高中数学
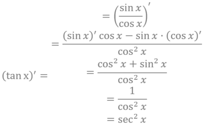
tanx求导的结果是sec²x,可把tanx化为sinx/cosx进行推导。求导的定义:当自变量的增量趋于零时,因变量的增量与自变量的增量之商的极限;在一个函数存在导数时,称这个函数可导或者可微分。
tanx导数计算方法
导数表内容
tanx求导的结果是sec²x,可把tanx化为sinx/cosx进行推导。求导的定义:当自变量的增量趋于零时,因变量的增量与自变量的增量之商的极限;在一个函数存在导数时,称这个函数可导或者可微分。
tanx导数计算方法
导数表内容