雷火在线> >高考复习 >高中数学 >

arctanx的泰勒展开式

时间: 高中数学

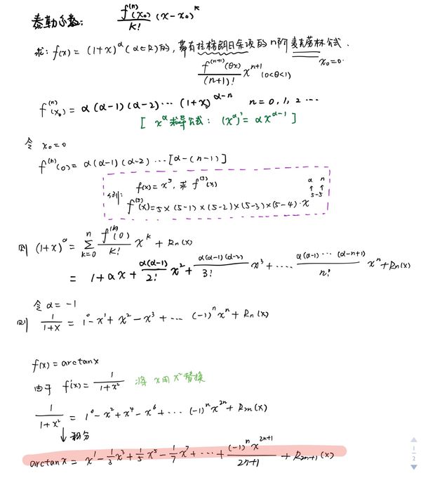
arctanx的泰勒展开式:arctanx(x)=x-1/3*x^3+1/5*x^5-1/7*x^7+1/9*x^9+...+(-1)^(n+1)/(2n-1)*x^(2n-1)。

arctanx的泰勒展开式

推导过程

arctanx的泰勒展开式

泰勒公式

泰勒公式,应用于数学、物理领域,是一个用函数在某点的信息描述其附近取值的公式。如果函数足够平滑的话,在已知函数在某一点的各阶导数值的情况之下,泰勒公式可以用这些导数值做系数构建一个多项式来近似函数在这一点的邻域中的值。泰勒公式还给出了这个多项式和实际的函数值之间的偏差。

常见泰勒公式

ez=1+z+z2/2!+ …+zn/n!+…,|z|<∞

1/(1-z)=1+z+z2+…+zn+…,|z|<1 

1/(1+z)=1-z+z2-…+(-1)nzn+…,|z|<1

sinz=z-z3/3!+z5/5!-…+(-1)n*z2n+1/(2n+1)!+ …,|z|<∞ 

cosz=1-z2/2!+z4/4!-…+(-1)n*z2n/(2n)!+…,|z|<∞