雷火在线> >高考复习 >高中数学 >

对数函数的导数

时间: 高中数学

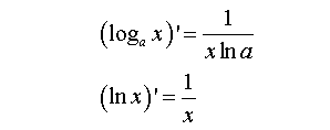
对数函数求导:(Inx)'=1/x(ln为自然对数),(logax)'=x^(-1)/lna(a>0且a不等于1)。

对数函数的导数

对数函数的导数公式

对数函数的导数

一般地,如果a(a>0,且a≠1)的b次幂等于N,那么数b叫做以a为底N的对数,记作logaN=b,其中a叫做对数的底数,N叫做真数。

底数则要>0且≠1真数>0

并且,在比较两个函数值时:

如果底数一样,真数越大,函数值越大。(a>1时)

如果底数一样,真数越小,函数值越大。(0<a<1时)

对数函数

一般地,对数函数是以幂(真数)为自变量,指数为因变量,底数为常量的函数。

其中对数的定义:如果ax=N(a>0,且a≠1),那么数x叫做以a为底N的对数,记作x=logaN,读作以a为底N的对数,其中a叫做对数的底数,N叫做真数。

一般地,函数y=logaX(a>0,且a≠1)叫做对数函数,也就是说以幂(真数)为自变量,指数为因变量,底数为常量的函数,叫对数函数。

其中x是自变量,函数的定义域是(0,+∞),即x>0。它实际上就是指数函数的反函数,可表示为x=ay。因此指数函数里对于a的规定,同样适用于对数函数。