雷火在线> >高考复习 >高中数学 >

定积分计算详细步骤

时间: 高中数学

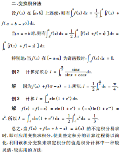
首先分析积分区间是否关于原点对称,其次考虑被积函数是否具有周期性,再次考察被积函数是否可以转换为“反对幂指三”五类基本函数中两个类型函数的乘积,或者是否包含有正整数n参数,或者包含有抽象函数的导数乘项等。

定积分计算详细步骤

定积分的计算一般思路与步骤

Step1:分析积分区间是否关于原点对称,即为[-a,a],如果是,则考虑被积函数的整体或者经过加减拆项后的部分是否具有奇偶性,如果有,则考虑使用“偶倍奇零”性质简化定积分计算。

Step2:考虑被积函数是否具有周期性,如果是周期函数,考虑积分区间的长度是否为周期的整数倍,如果是,则利用周期函数的定积分在任一周期长度的区间上的定积分相等的结论简化积分计算。

Step3:考察被积函数是否可以转换为“反对幂指三”五类基本函数中两个类型函数的乘积,或者是否包含有正整数n参数,或者包含有抽象函数的导数乘项,如果是,可考虑使用定积分的分部积分法计算定积分。

Step4:考察被积函数是否包含有特定结构的函数,比如根号下有平方和、或者平方差(或者可以转换为两项的平和或差的结构),是否有一次根式,对于有理式是否分母次数比分子次数高2次以上;是否包含有指数函数或对数函数,对于具有这样结构的积分,考虑使用三角代换、根式代换、倒代换或指数、对数代换等;换元的函数一般选取严格单调函数;与不定积分不同的是,在变量换元后,定积分的上下限必须转换为新的积分变量的范围,依据为:上限对上限、下限对下限;并且换元后直接计算出关于新变量的定积分即为最终结果,不再需要逆变换换元!

计算方法

定积分计算详细步骤

定积分计算详细步骤

定积分计算详细步骤

定积分

定积分是积分的一种,是函数f(x)在区间[a,b]上的积分和的极限。

这里应注意定积分与不定积分之间的关系:若定积分存在,则它是一个具体的数值(曲边梯形的面积),而不定积分是一个函数表达式,它们仅仅在数学上有一个计算关系(牛顿-莱布尼茨公式),其它一点关系都没有。

一个函数,可以存在不定积分,而不存在定积分,也可以存在定积分,而不存在不定积分。一个连续函数,一定存在定积分和不定积分;若只有有限个间断点,则定积分存在;若有跳跃间断点,则原函数一定不存在,即不定积分一定不存在。