雷火在线> >高考复习 >高中数学 >

arctanx的导数是什么

时间: 高中数学

arctanx的导数:y=arctanx,x=tany,dx/dy=sec²y=tan²y+1,dy/dx=1/(dx/dy)=1/(tan²y+1)=1/(1+x²)。

arctanx的导数是什么

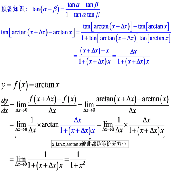
证明过程

arctanx的导数是什么

三角函数求导公式

(arcsinx)'=1/(1-x^2)^1/2

(arccosx)'=-1/(1-x^2)^1/2

(arctanx)'=1/(1+x^2)

(arccotx)'=-1/(1+x^2)

(arcsecx)'=1/(|x|(x^2-1)^1/2)

(arccscx)'=-1/(|x|(x^2-1)^1/2)

反函数求导法则

如果函数x=f(y)x=f(y)在区间IyIy内单调、可导且f′(y)≠0f′(y)≠0,那么它的反函数y=f−1(x)y=f−1(x)在区间Ix={x|x=f(y),y∈Iy}Ix={x|x=f(y),y∈Iy}内也可导,且

[f−1(x)]′=1f′(y)或dydx=1dxdy

[f−1(x)]′=1f′(y)或dydx=1dxdy

这个结论可以简单表达为:反函数的导数等于直接函数导数的倒数。

例:设x=siny,y∈[−π2,π2]x=sin⁡y,y∈[−π2,π2]为直接导数,则y=arcsinxy=arcsin⁡x是它的反函数,求反函数的导数.

解:函数x=sinyx=sin⁡y在区间内单调可导,f′(y)=cosy≠0f′(y)=cos⁡y≠0

因此,由公式得

(arcsinx)′=1(siny)′

(arcsin⁡x)′=1(sin⁡y)′

=1cosy=11−sin2y−−−−−−−−√=11−x2−−−−−√

=1cos⁡y=11−sin2⁡y=11−x2