雷火在线> >高考复习 >高中数学 >

方差越大越稳定还是越小越稳定

时间: 高中数学

方差越小,数据越稳定。例如,1.1.2.2,波动大,方差为0.25;而1.1.1.1,没有波动,方差就是0。所以方差越小越稳定。

方差越大越稳定还是越小越稳定

方差是什么

方差是指一组数据中的各个数减这组数据的平均数的平方和的平均数,如(1,2,3,4,5)这组数据的方差,就先求出这组数据的平均数(1+2+3+4+5)÷5=3,然后再求各个数与平均数的差的平方和,用(1-3)²+(2-3)²+(3-3)²+(4-3)²+(5-3)²=10,再求平均数10÷5=2,即这组数据的方差为2。

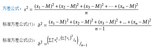
方差计算公式

方差的概念与计算公式,例如 两人的5次测验成绩如下:X:50,100,100,60,50,平均值E(X)=72;Y:73,70,75,72,70 平均值E(Y)=72。平均成绩相同,但X 不稳定,对平均值的偏离大。方差描述随机变量对于数学期望的偏离程度。

单个偏离是消除符号影响方差即偏离平方的均值,记为E(X):直接计算公式分离散型和连续型。推导另一种计算公式得到:“方差等于各个数据与其算术平均数的离差平方和的平均数”。其中,分别为离散型和连续型计算公式。 称为标准差或均方差,方差描述波动程度。

方差越大越稳定还是越小越稳定