雷火在线> >高考资讯 >高考政策 >

第三批新高考选考科目两步赋分法

时间: 高考政策

随着新高考改革的进行,继上海、浙江、北京、天津、山东、海南六个省份进行了新高考之后。第三批新高考省份湖南、湖北、河南、辽宁、重庆、福建、江苏、广东新高考改革方案也已经定了下来,第三批新高考省份选考科目统一使用一个赋分法。

第三批新高考选考科目两步赋分法

第三批新高考赋分如何转换

等级分是按统一规则,由原始分进行等级划定后,再由等级转换而来的分数。对于某一再选科目,考生该科目的合格性考试成绩达到合格后,转换时赋分起点为30分,满分为100分。具体转换规则和步骤如下:第一步,按照考生原始分从高到低划定 A、B、C、D、E共五个等级,各等级人数所占比例分别约为15%、35%、35%、13%和2%,从而将考生的原始分转换成了等级。第二步,将A至E五个等级内的考生原始分,依照等比例转换法则,分别对应转换到100~86、85~71、70~56、55~41和40~30五个分数段,从而将考生的等级转换成了等级分。

第三批新高考等级赋分表
A15%100-86
B35%85-71
C35%70-56
D13%55-41
E2%40-30

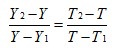
其中:Y表示原始分(Y1、Y2分别表示原始分区间的下限和上限);T表示转换分(T1、T2分别表示转换分区间的下限和上限)。转换公式:

第三批新高考选考科目两步赋分法

举例说明,某同学的卷面分是80分,第一步按照总人数及排名得出学生的所在等级是B。第二步原始分的区间也就是16%到50%区间内分数上限和下限为81-60.按照以上公式得解T≈84.该考生转化分为84分。

新高考选科赋分制就这么两步,你学会了吗?

来源:雷火在线志愿