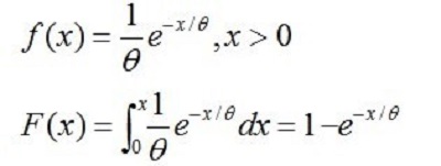
指数分布的概率密度
时间:
高中数学
概率密度函数:在数学中,连续型随机变量的概率密度函数(在不至于混淆时可以简称为密度函数)是一个描述这个随机变量的输出值,在某个确定的取值点附近的可能性的函数。
公式
其中λ>0是分布的一个参数,常被称为率参数(rate parameter)。即每单位时间内发生某事件的次数。指数分布的区间是[0,∞)。如果一个随机变量X呈指数分布,则可以写作:X~Exponential(λ)。
概率密度函数:在数学中,连续型随机变量的概率密度函数(在不至于混淆时可以简称为密度函数)是一个描述这个随机变量的输出值,在某个确定的取值点附近的可能性的函数。
公式
其中λ>0是分布的一个参数,常被称为率参数(rate parameter)。即每单位时间内发生某事件的次数。指数分布的区间是[0,∞)。如果一个随机变量X呈指数分布,则可以写作:X~Exponential(λ)。