雷火在线 >辽宁高考 >辽宁高考资讯 >辽宁成绩查询 >

2025辽宁高考成绩物理类一分一段表出炉 最新位次排名

时间: 辽宁 成绩查询

高考的一分一段位次表主要为展示考生个人分数在省内的排名情况,对于2025年参加高考的考生而言,当高考成绩及一分一段表正式公布后,考生可依据自身位次,换算成前一年的对应分数。下面是小编整理的2025辽宁高考成绩物理类一分一段表,一起来看看吧!

2025辽宁高考成绩物理类一分一段表

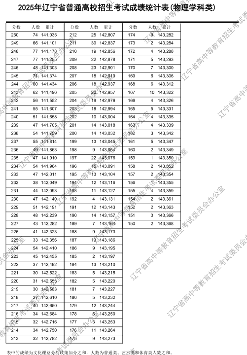
2025辽宁物理类一分一段表:

一分一段表的作用是可以显示每一个分数全省考生有多少名,考生可以根据自己的分数对照一分段表,再参照往年各类学校各批次招生计划数,确定自己该如何填报志愿。

一分段表是将全省同科类(仅指普通高考文史理工类考生,不含艺术体育和职教师资、三校高职考生)考生的投档分(高考文考成绩总分+照顾加分,不含和志愿相关的志愿加分)从高到低排列(分数相同的则为并列),再按一分一段统计“本段人数”。

2024辽宁高考成绩物理类一分一段表

以下是为大家整理的2024辽宁高考成绩物理类一分一段表数据,大家可以参考。

分数人数位次
708及以上1111
707516
706925
705530
704232
7031042
702547
701552
7001365
6991378
6982098
69716114
69620134
69515149
69417166
69317183
69229212
69124236
69028264
68925289
68827316
68737353
68636389
68553442
68435477
68347524
68245569
68140609
68045654
67946700
67848748
67783831
67666897
67557954
674601014
673761090
672681158
671791237
670791316
669871403
668701473
6671121585
666901675
665891764
6641141878
6631081986
662822068
661852153
6601012254
6591002354
6581142468
6571382606
6561272733
6551272860
6541413001
6531313132
6521533285
6511433428
6501333561
6491503711
6481693880
6471784058
6461514209
6451774386
6441494535
6431864721
6421764897
6411845081
6401925273
6391815454
6381755629
6371765805
6362016006
6351786184
6341786362
6332106572
6321986770
6312226992
6301797171
6292017372
6281927564
6271997763
6262398002
6252418243
6242238466
6232318697
6222318928
6212089136
6202479383
6192329615
6182409855
61724510100
61626910369
61527010639
61425210891
61323111122
61228911411
61126611677
61024211919
60927112190
60827112461
60727012731
60625912990
60525013240
60428413524
60329013814
60226814082
60127014352
60026014612
59926714879
59827915158
59729615454
59631515769
59529916068
59426116329
59327716606
59232216928
59133017258
59029617554
58930017854
58834318197
58730718504
58632618830
58529619126
58434019466
58331619782
58232620108
58132920437
58036120798
57932121119
57833121450
57734621796
57630422100
57535322453
57436422817
57338223199
57231823517
57130023817
57036724184
56933724521
56830924830
56735725187
56634125528
56536525893
56433126224
56336226586
56234926935
56138927324
56037227696
55935628052
55837328425
55736828793
55637729170
55537229542
55439129933
55340430337
55239930736
55137931115
55040331518
54940231920
54836432284
54737532659
54639633055
54540633461
54441233873
54341434287
54242634713
54141835131
54040735538
53941135949
53842336372
53739436766
53646837234
53543537669
53442638095
53348138576
53241838994
53138939383
53042239805
52938340188
52841340601
52738940990
52641841408
52539541803
52439942202
52345142653
52241343066
52140343469
52042443893
51946044353
51846544818
51745845276
51643845714
51546046174
51447546649
51344347092
51244147533
51143547968
51044748415
50946148876
50845749333
50743649769
50648450253
50544750700
50449451194
50345451648
50246552113
50144652559
50048553044
49950053544
49846154005
49751054515
49645654971
49547255443
49447455917
49348556402
49246656868
49146457332
49047457806
48948158287
48846058747
48748659233
48646359696
48546460160
48452660686
48347661162
48246261624
48147262096
48047562571
47949263063
47845663519
47750464023
47652164544
47547165015
47448365498
47352766025
47250166526
47149667022
47048967511
46947567986
46848268468
46746968937
46646969406
46547069876
46447370349
46350270851
46249971350
46152571875
46047272347
45947972826
45850373329
45751873847
45653174378
45551874896
45449575391
45352075911
45249076401
45149176892
45047177363
44950377866
44852478390
44748178871
44651979390
44550679896
44450180397
44347880875
44247681351
44150781858
44047982337
43947582812
43854383355
43748083835
43652284357
43548384840
43451085350
43350685856
43248086336
43151486850
43050787357
42952087877
42849988376
42751888894
42650389397
42548189878
42451590393
42349090883
42250491387
42148591872
42048692358
41946392821
41851493335
41748493819
41646494283
41547994762
41452195283
41345795740
41253396273
41146696739
41047997218
40950297720
40848598205
40743198636
40648499120
40543199551
404463100014
403480100494
402455100949
401509101458
400479101937
399503102440
398447102887
397484103371
396447103818
395470104288
394451104739
393466105205
392454105659
391466106125
390460106585
389453107038
388439107477
387426107903
386460108363
385414108777
384447109224
383447109671
382448110119
381411110530
380498111028
379427111455
378447111902
377449112351
376435112786
375429113215
374444113659
373443114102
372463114565
371427114992
370405115397
369399115796
368402116198
367431116629
366419117048
365406117454
364404117858
363401118259
362394118653
361400119053
360414119467
359409119876
358403120279
357365120644
356388121032
355396121428
354378121806
353383122189
352401122590
351407122997
350362123359
349360123719
348381124100
347391124491
346377124868
345379125247
344370125617
343339125956
342376126332
341341126673
340355127028
339336127364
338363127727
337325128052
336351128403
335347128750
334288129038
333319129357
332320129677
331318129995
330349130344
329343130687
328358131045
327323131368
326300131668
325326131994
324265132259
323292132551
322333132884
321260133144
320295133439
319302133741
318276134017
317289134306
316274134580
315289134869
314266135135
313251135386
312278135664
311294135958
310263136221
309256136477
308250136727
307239136966
306257137223
305240137463
304219137682
303245137927
302238138165
301271138436
300239138675
299232138907
298236139143
297229139372
296216139588
295204139792
294179139971
293213140184
292214140398
291204140602
290198140800
289204141004
288186141190
287184141374
286201141575
285196141771
284197141968
283213142181
282196142377
281167142544
280155142699
279140142839
278167143006
277157143163
276153143316
275136143452
274169143621
273128143749
272167143916
271155144071
270148144219
269157144376
268134144510
267139144649
266132144781
265114144895
264142145037
263119145156
262113145269
261133145402
260122145524
259115145639
258114145753
257115145868
256108145976
25598146074
254113146187
253112146299
25286146385
25196146481
250102146583
24988146671
248100146771
24791146862
24689146951
24579147030
24490147120
24372147192
24278147270
24183147353
24054147407
23974147481
23881147562
23780147642
23668147710
23569147779
23474147853
23362147915
23270147985
23158148043
23060148103
22956148159
22862148221
22747148268
22640148308
22553148361
22441148402
22352148454
22250148504
22142148546
22053148599
21945148644
21835148679
21748148727
21635148762
21535148797
21433148830
21330148860
21236148896
21135148931
21033148964
20930148994
20823149017
20718149035
20633149068
20525149093
20428149121
20328149149
20227149176
20126149202
20018149220
19918149238
19821149259
19717149276
19615149291
19515149306
19417149323
19314149337
19210149347
19119149366
19010149376
18910149386
18817149403
1879149412
18616149428
18515149443
1849149452
1839149461
18210149471
1819149480
18017149497
1796149503
1787149510
17712149522
1768149530
1758149538
1746149544
1734149548
1724149552
1713149555
1705149560
1699149569
1685149574
1679149583
16610149593
1656149599
1644149603
1633149606
1626149612
1611149613
1602149615
1592149617
1585149622
1573149625
1564149629
1555149634
1542149636
1533149639
1523149642
1511149643
1502149645