分数线
高考政策
高考新闻
高考时间
成绩查询
高考体检
录取查询
高考报名
高考状元
今日推荐
高考大纲
雷火在线
>
上海高考
>
上海高考资讯
>
上海成绩查询
>
上海2025美术与设计类专业统考本科成绩一分一段位次排名情况
时间:
2025-06-23
上海
成绩查询
2025上海
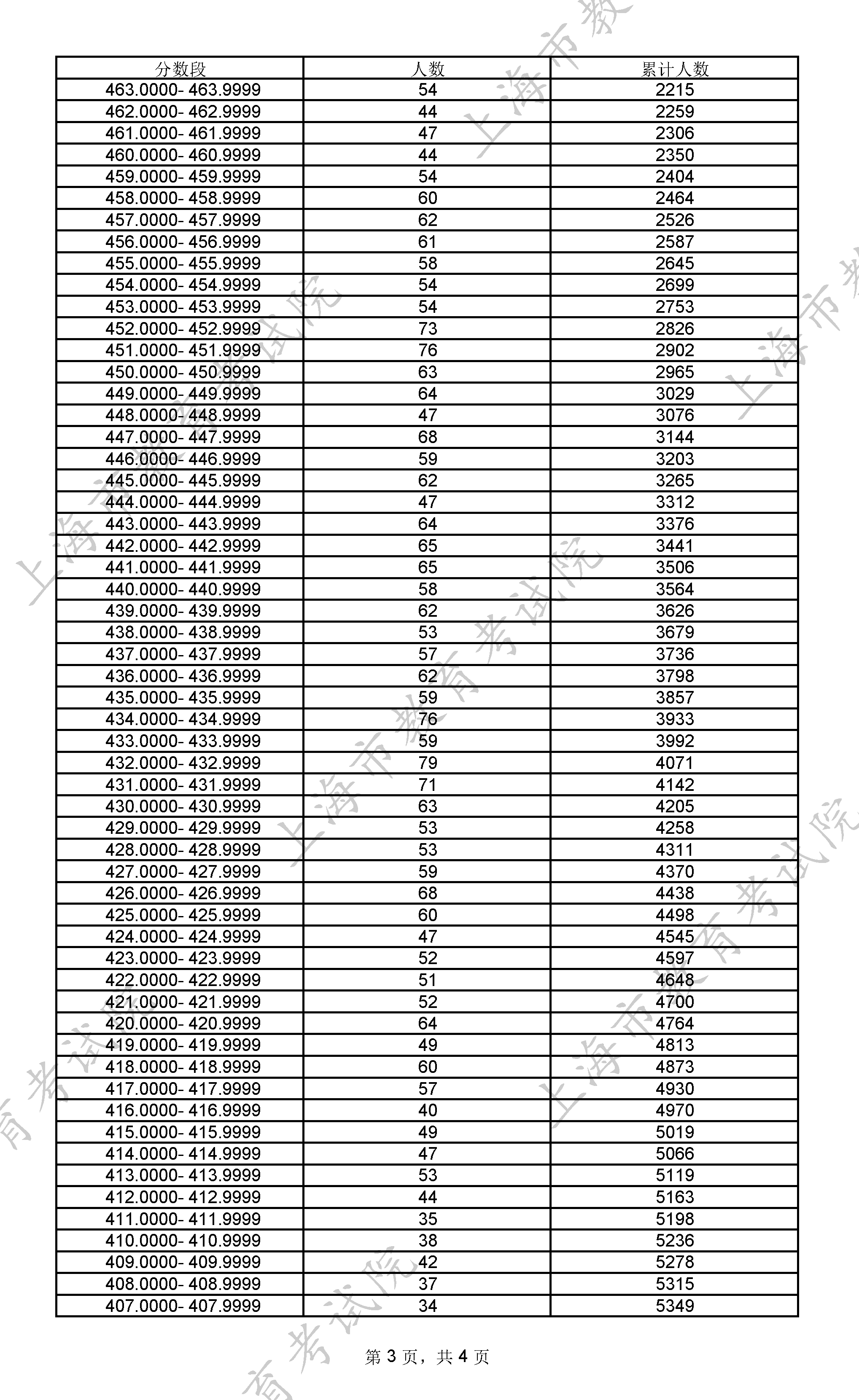
美术与设计类专业统考本科合格考生投档成绩分布表
,具体人数及位次排名如下:
相关文章
上海市教育考试院:今日14时起可查询高考成绩
2025上海高考几号出成绩 附查分时间及网址入口
上海2025高考什么时间查分 附考试院网址入口及查分方法
2025上海高考一分一段表 成绩排名位次对应大学
上海2025年高考一分一段统计表及位次排名
上海2025高考成绩排名排名查询 个人成绩在全省排名怎么查
上海高考一分一段表 附位次排名对应大学(2025年参考)
热门推荐
2022安徽高考成绩查询方式及官方系统入口网址:https://www.ahzsks.cn
06-16
2022河南高考成绩查询方式及官方系统入口网址:http://www.haeea.cn
06-16
2022湖北高考成绩查询方式及官方系统入口网址:http://www.hbea.edu.cn
06-16
4
2022贵州高考成绩查询方式及官方系统入口网址:http://zsksy.guizhou.gov.cn
5
2022陕西高考成绩查询方式及官方系统入口网址:http://www.sneea.cn
6
2022年广东省普通高校专升本考试成绩查询入口:https://www.eeagd.edu.cn/ptzsbks
7
2022浙江高考成绩查询方式及官方系统入口网址:https://www.zjzs.net
8
2022山东高考成绩查询方式及官方系统入口网址:http://www.sdzk.cn
9
2022江苏高考成绩查询方式及官方系统入口:https://www.jseea.cn
10
2022广东高考成绩查询方式及官方系统入口网址:https://eea.gd.gov.cn
最新文章
2025年福建农林大学金山学院在上海招生代码:573 专业代码及报考指南
2025美术生文化课505分能上衡水学院吗
2025年武汉商学院在四川招生代码及专业代码 武汉商学院四川代码是多少?怎么查询?
2025艺考生文化课575分能上遵义医科大学吗
北京铁道工程技术专业各大学录取分数线:最低235分能上 开设院校及位次
2025艺考生文化课575分能上中国地质大学(武汉)吗
上海2025年高考本科各批次录取控制分数线出炉 投档线是多少
2025音乐生文化课512分能上燕山大学吗
2025美术生文化课565分能上北华大学吗
2025音乐生文化课529分能上华南农业大学吗
2025美术生文化课542分能上北京语言大学吗
MK官网
|
博业体育(中国)官方网站-登录入口
|
好博在线客服
|
半岛网页版页面
|
AK集团官网(中国)官方网站
|
江南·官方端网站登录入口
|
AK官方网站
|
IM官方网页版
|
米乐在线
|