雷火在线> >高考复习 >高中数学 >

高中线性回归方程公式

时间: 高中数学

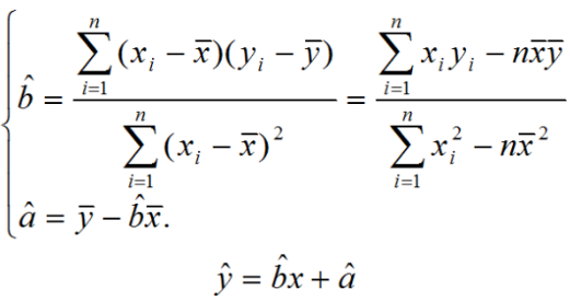
高中线性回归方程公式:b=(x1y1+x2y2+...xnyn-nXY)/(x1+x2+...xn-nX)。线性回归方程是利用数理统计中的回归分析,来确定两种或两种以上变数间相互依赖的定量关系的一种统计分析方法之一。

高中线性回归方程公式

线性回归方程的公式

高中线性回归方程公式

线性回归方程求解方法

线性回归模型经常用最小二乘逼近来拟合,但他们也可能用别的方法来拟合,比如用最小化“拟合缺陷”在一些其他规范里(比如最小绝对误差回归),或者在回归中最小化最小二乘损失函数的乘法。相反,最小二乘逼近可以用来拟合那些非线性的模型。因此,尽管最小二乘法和线性模型是紧密相连的,但他们是不能划等号的。