雷火在线> >高考复习 >高中数学 >

secx的原函数

时间: 高中数学

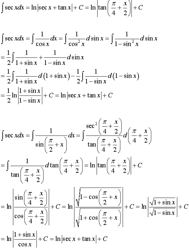
secx的原函数:ln|secx+tanx|+C。正割(Secant,sec)是三角函数的一种。它的定义域不是整个实数集,值域是绝对值大于等于一的实数。

secx的原函数

如何求Secx的原函数

secx的原函数

正割性质

(1)定义域,{x|x≠kπ+π/2,k∈Z}

(2)值域,|secx|≥1.即secx≥1或secx≤-1;

(3)y=secx是偶函数,即sec(-x)=secx.图像对称于y轴;

(4)y=secx是周期函数.周期为2kπ(k∈Z,且k≠0),最小正周期T=2π

正割与余弦互为倒数,余割与正弦互为倒数。

(5)secθ=1/cosθ

(6)sec²θ=1+tan²θ