雷火在线> >高考复习 >高中数学 >

向量内积怎么算

时间: 高中数学

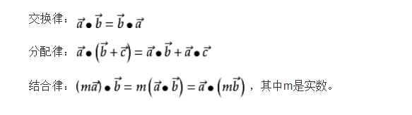
向量内积的运算:(x·y)=(y·x);(x+y)·z=(x·z)+(y·z);(kx·y)=k(x·y);(x·x)=x1^2+......+xn^2>=0等号成立当且仅当x=0。

向量内积怎么算

运算法则

向量内积怎么算