雷火在线 >湖南高考 >湖南高考资讯 >湖南成绩查询 >

2025湖南高考一分一段位次表 高考成绩排名最新【物理类】

时间: 湖南 成绩查询

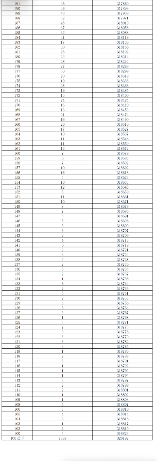
2025湖南高考物理类一分一段位次表已经公布,其中686分人数是8人;681分人数是19人;678分人数是29人;671分人数是44人;670分人数是49人;662分人数是76人;647分人数是133人。以下是详细内容,大家可以看一看。

2025湖南高考物理类一分一段位次表公布

2025湖南高考物理类一分一段如下:

填报志愿时如何利用湖南一分一段表

1、在湖南一分一段表中找准位置

通过湖南一分一段表,考生可以知道自己的高考成绩在今年全省同科类考生中的位次(排名),再对比预填报学校往年校线分数所对应的位次,如果两个位次一致和相当,填报后录取的可能性就大;如果两者相差过大,落选的可能性就大。

找准位次,应该比单纯比较分数更准确。因此,湖南考生不能仅凭分数填报志愿,而应充分利用湖南一分一段表,以成绩排名作为填报参考。

2、看高校近三年的录取

湖南考生可对比一下近三年来的湖南一分一段表,看看所想要填报的大学连续三四年的校线在哪个段位(即高出所在批次多少分),若自己的分数比至少两年的段位高,那报考该校把握较大。

湖南高考一分一段表的作用

一分一段表一般是指高考人数和分数的统计表。通过一分一段表可以知道,湖南所有考生,在某一分数上,同分值的人数有多少,还有就是截止到某分数值,一共累计有多少人。

根据湖南一分一段表去填报志愿,把握要大得多。各高校在招生录取时,会根据学生的排名进行依次检索。比如,这所大学的招生计划为50人,它会从高分到低分,检索学生的志愿,检索到第50个人(如果按1:1招生),这个人的分数便是录取分数线。因此,各高校是根据学生排名而非高考成绩进行录取的,此时便体现出了湖南一分一段表的重大作用。