雷火在线> >高考复习 >高中数学 >

等比数列的求和方式

时间: 高中数学

等比数列公式是在数学上求一定数量的等比数列的和的公式。另外,一个各项均为正数的等比数列各项取同底数数后构成一个等差数列;反之,以任一个正数C为底,用一个等差数列的各项做指数构造幂Can,则是等比数列。

等比数列的求和公式

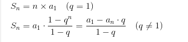
等比数列的求和方式

公式当中a1为首项,an为数列第n项,q为等比数列公比,Sn为前n项和。

等比数列的性质

①若 m、n、p、q∈N,且m+n=p+q,则aman=apaq;

②在等比数列中,依次每 k项之和仍成等比数列;

③若m、n、q∈N,且m+n=2q,则am×an=(aq)2;

④ 若G是a、b的等比中项,则G2=ab(G ≠ 0);

⑤在等比数列中,首项a1与公比q都不为零.

⑥在数列{an}中每隔k(k∈N*)取出一项,按原来顺序排列,所得新数列仍为等比数列且公比为q(k+1)

⑦当数列{an}使各项都为正数的等比数列,数列{lgan}是lgq的等差数列