雷火在线> >高考复习 >高中数学 >

辅助角公式是什么

时间: 高中数学

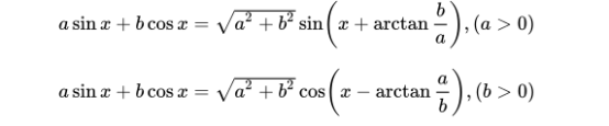
辅助角公式是一种高等三角函数公式,使用代数式表达为asinx+bcosx=√(a²+b²)sin[x+arctan(b/a)](a>0)。

辅助角公式是什么

辅助角公式的具体内容

辅助角公式是什么

该公式的主要作用是将多个三角函数的和化成单个函数,以此来求解有关最值问题。

辅助角公式的性质

辅助角公式例题详解

π/6≤a≤π/4 ,求sin²a+2sinacosa+3cos²a的最小值

解:令f(a)=sin²a+2sinacosa+3cos²a

=1+sin2a+2cos²a

=1+sin2a+(1+cos2a)(降幂公式)

=2+(sin2a+cos2a)

=2+(√2)sin(2a+π/4)(辅助角公式)

因为7π/12≤2a+π/4≤3π/4

所以f(a)min=f(3π/4)=2+(√2)sin(3π/4)=3