雷火在线> >高考复习 >高中数学 >

线性回归是什么 线性回归方程公式

时间: 高中数学

线性回归是利用数理统计中的回归分析,来确定两种或两种以上变数间相互依赖的定量关系的一种统计分析方法之一,应用十分广泛。下面小编为大家详细介绍一下。

线性回归是什么 线性回归方程公式

线性回归

线性回归是利用数理统计中的回归分析,来确定两种或两种以上变数间相互依赖的定量关系的一种统计分析方法之一,应用十分广泛。变量的相关关系中最为简单的是线性相关关系,设随机变量与变量之间存在线性相关关系,则由试验数据得到的点,将散布在某一直线周围。因此,可以认为关于的回归函数的类型为线性函数。

分析按照自变量和因变量之间的关系类型,可分为线性回归分析和非线性回归分析。如果在回归分析中,只包括一个自变量和一个因变量,且二者的关系可用一条直线近似表示,这种回归分析称为一元线性回归分析。如果回归分析中包括两个或两个以上的自变量,且因变量和自变量之间是线性关系,则称为多元线性回归分析。

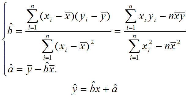
线性回归方程公式

线性回归是什么 线性回归方程公式