雷火在线> >高考资讯 >高考政策 >

新高考选考科目两步赋分法是什么

时间: 高考政策

随着新高考改革的进行,继上海、浙江、北京、天津、山东、海南六个省份进行了新高考之后。第三批新高考省份湖南、湖北、河南、辽宁、重庆、福建、江苏、广东新高考改革方案也已经定了下来,第三批新高考省份选考科目统一使用一个赋分法,也就是两步赋分法,那么什么是两步赋分法呢?下面小编就带领大家详细盘点一下。

新高考选考科目两步赋分法是什么

什么是两步赋分法

新高考改革下的等级分是按统一规则,由原始分进行等级划定后,再由等级转换而来的分数。对于某一再选科目,考生该科目的合格性考试成绩达到合格后,转换时赋分起点为30分,满分为100分。具体转换规则和步骤如下:第一步,按照考生原始分从高到低划定 A、B、C、D、E共五个等级,各等级人数所占比例分别约为15%、35%、35%、13%和2%,从而将考生的原始分转换成了等级。第二步,将A至E五个等级内的考生原始分,依照等比例转换法则,分别对应转换到100~86、85~71、70~56、55~41和40~30五个分数段,从而将考生的等级转换成了等级分。

第三批新高考等级赋分表
A15%100-86
B35%85-71
C35%70-56
D13%55-41
E2%40-30

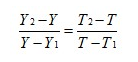
其中:Y表示原始分(Y1、Y2分别表示原始分区间的下限和上限);T表示转换分(T1、T2分别表示转换分区间的下限和上限)。转换公式为:

新高考选考科目两步赋分法是什么

举例说明,某同学的卷面分是80分,第一步按照总人数及排名得出学生的所在等级是B。第二步原始分的区间也就是16%到50%区间内分数上限和下限为81-60.按照以上公式得解T≈84.该考生转化分为84分。

新高考赋分制度的优势是什么

举个例子:

假设在新高考中,A和B高考都选考了物理和化学,而且在高考中两个人的语文、数学、外语和物理、化学的成绩之和相同;

B另外选考了生物,成绩是90分,最终以优异成绩顺利进入了北京大学;但A另外选考的地理只考了65分,最终只能进入一所独立学院。

如果按照这种传统的记分方式,可以看到,因为选考科目不同,二人的命运走向完全不同。

然而事实却是,在这次高考中,生物试卷的难度很小,B考的90分只排在全省50%的名次,而地理试卷的难度很大,A考的65分却能排在全省前10%的名次。

因此,在新高考下,不同的人选考科目不同,倘若只是按照各自选考科目的原始分数进行加和而得出高考分数,选考科目容易就能取得高分,选难了就得不了高分,显然是十分不公平的。

受考试难度和科目性质等因素的影响,分数不同质,就不能进行简单的加和操作,只有转换为同质性的标准分数,才能进行科学的比较与求和。

同一学科,如果有两次考试,每次的难度也可能不同,这样成绩也不能直接用卷面分数进行比较。

在众多的考生中,无论同一科试卷难度如何,按照成绩的高低梯度都能较好地体现出学生的水平差异。

因此,赋分制不仅可以缩小学科难度不同造成的分数差异,也可以减小试题难度不同造成的分数差异。