雷火在线> >高考复习 >高中数学 >

伴随矩阵怎么求 有什么方法

时间: 高中数学

在线性代数中,一个方形矩阵的伴随矩阵是一个类似于逆矩阵的概念。如果二维矩阵可逆,那么它的逆矩阵和它的伴随矩阵之间只差一个系数,对多维矩阵也存在这个规律。然而,伴随矩阵对不可逆的矩阵也有定义,并且不需要用到除法。

怎么求伴随矩阵

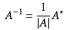
解题步骤:因为矩阵可逆等价条件:若|A|≠0,则矩阵A可逆,其中,A*为矩阵A的伴随矩阵。

则所求问题的结果为:

其中,二阶矩阵的伴随矩阵求法口诀:主对角线元素互换,副对角线元素加负号。

二阶矩阵求伴随口诀:主对调,副变号。(即主对角线上元素调换位置,副对角线上元素改变正负号)

原理是求出各元素的代数余子式,写在对应位置,然后转置。

在线性代数中,一个方形矩阵的伴随矩阵是一个类似于逆矩阵的概念。如果二维矩阵可逆,那么它的逆矩阵和它的伴随矩阵之间只差一个系数,对多维矩阵不存在这个规律。然而,伴随矩阵对不可逆的矩阵也有定义,并且不需要用到除法。

伴随矩阵特殊求法

(1)当矩阵是大于等于二阶时:

主对角元素是将原矩阵该元素所在行列去掉再求行列式,非主对角元素是原矩阵该元素的共轭位置的元素去掉所在行列求行列式乘以,x,y为该元素的共轭位置的元素的行和列的序号,序号从1开始。主对角元素实际上是非主对角元素的特殊情况(-1)^(x+y),因为x=y,所以(-1)^(x+y)=1,一直是正数,没必要考虑主对角元素的符号问题。

(2)当矩阵的阶数等于一阶时,伴随矩阵为一阶单位方阵。

(3)二阶矩阵的求法口诀:主对角线元素互换,副对角线元素变号。