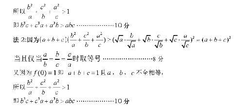
2020河北高考理科数学模拟试题(含答案) 时间:2020-06-17 09:28 数学试题 2020河北高考理科数学模拟试题 MK官网 | 博业体育(中国)官方网站-登录入口 | 好博在线客服 | 半岛网页版页面 | AK集团官网(中国)官方网站 | 江南·官方端网站登录入口 | AK官方网站 | IM官方网页版 | 米乐在线 |