2020四川高考文科数学试题及答案解析【word精校版】
时间:
数学试题
2020四川高考文科数学答案解析
选择题
B 2.D 3.C 4.C 5.B 6.A 7.B 8.B 9.C 10.A 11.C 12.D
填空题
13、13.7
14、√3
15、1
16、2π
简答题
17.
18.
19.
20.
21.
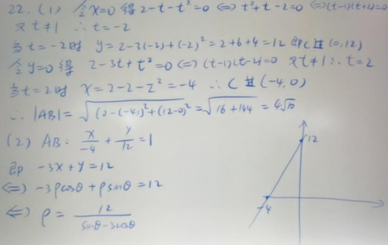
22.
23.
2020高考理科数学试题
以上答案解析来源:百度文库,仅供参考。
MK官网 | 博业体育(中国)官方网站-登录入口 | 好博在线客服 | 半岛网页版页面 | AK集团官网(中国)官方网站 | 江南·官方端网站登录入口 | AK官方网站 | IM官方网页版 | 米乐在线 |