2020年重庆高考文科数学试题及答案解析
时间:
数学试题
全国高考2卷文科试题
参考答案
选择题
1.D 2.A 3.C 4.B 5.D 6.B 7.C 8.B 9.B 10.A 11.C 12.A
填空题
13.1/9
14.25
15.8
16.①③④
简答题
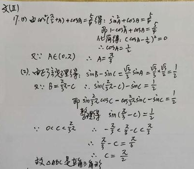
17.
18.
19.
20.
21.
22.
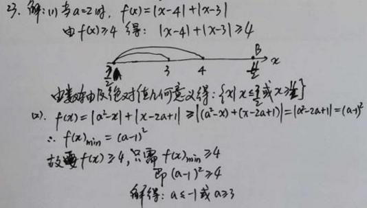
23.
以上答案解析来源:百度文库。
MK官网 | 博业体育(中国)官方网站-登录入口 | 好博在线客服 | 半岛网页版页面 | AK集团官网(中国)官方网站 | 江南·官方端网站登录入口 | AK官方网站 | IM官方网页版 | 米乐在线 |