2020北京高考数学试题及答案解析
时间:
数学试题
参考答案
1、D
2、B
3、C
4、D
5、A
6、D
7、B
8、B
9、C
10、A
11、{x|x>0}
12、(3,0),
13、
14、
15、①②③
16、
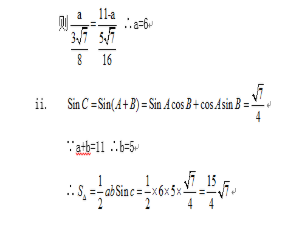
17、
18、
19、
20、
21、
来源:百度文库
北京高考数学" />
参考答案
1、D
2、B
3、C
4、D
5、A
6、D
7、B
8、B
9、C
10、A
11、{x|x>0}
12、(3,0),
13、
14、
15、①②③
16、
17、
18、
19、
20、
21、
来源:百度文库