河北能源职业技术学院在陕西招生专业选科要求对照表 新高考各专业需要选考什么科目
2025年青岛科技大学在陕西招生代码及专业代码是多少?如何查询?
遂宁工程职业学院在宁夏招生专业选科要求对照表 新高考各专业需要选考什么科目
2025年12月英语四级作文万能套用模版 必背范文精选
湖北2025年高考各批次录取控制分数线公布
山西2025年高考各批次各类录取最低控制分数线公布
2025年浙江各类别各批次高考录取分数线公布
四川2025年高考各批次录取最低分数线公布
贵州省2025年高考各批次录取控制分数线划定
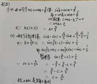
2020年全国2卷高考文科数学试题答案【高清精校版】
本文档整理了【高清精校版】2020年全国2卷高考文科数学试题答案。点击文末的下载,可下载PDF格式的文件,便于打印和存储...
2020年全国2卷高考文科数学真题试卷【高清精校版】
本文档整理了【高清精校版】2020年全国2卷高考文科数学真题。点击文末的下载,可下载PDF格式的文件,便于打印和存储。...
2020全国2卷高考文科数学试题及答案解析【word精校版】
1.答题前,先将自己的姓名、准考证号填写在试题卷和答题卡上。2.选择题的作答:每小题选出答案后,用2B铅笔把答题卡上对应...