雷火在线> >西藏高考 >西藏高考试题 >西藏数学试题 >

2021年西藏高考文科数学真题答案解析

时间: 数学试题

选择:1、B 2、C 3、B 4、D 5、A 6、C 7、A 8、D 9、A 10、C 11、A 12、B

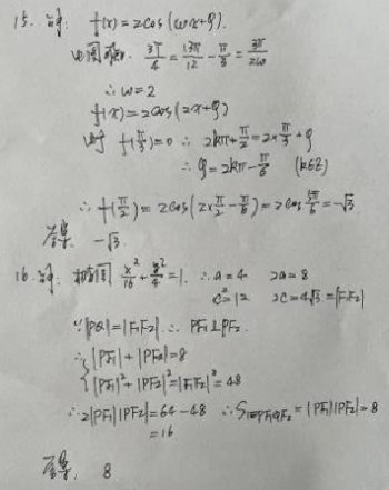
填空:13、3√2 14、51 π

注:下载本文可查看完整版答案。