雷火在线 >吉林高考 >吉林高考试题 >吉林数学试题 >

东北师大附中2024-2025学年高三第二次摸底数学试题及答案

时间: 吉林 数学试题

东北师大附中2024-2025学年高三第二次摸底数学考试已于近日开考,为方便考生考后及时查看考试情况,查漏补缺、弥补不足,本文整理了试题答案解析相关信息!

汇总:东北师大附中2024-2025学年高三第二次摸底考试试题及答案汇总

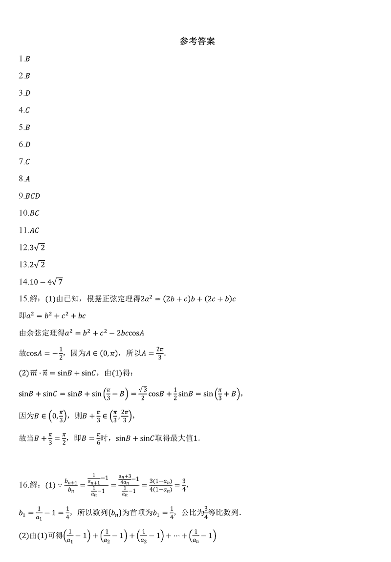
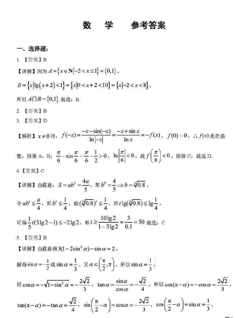
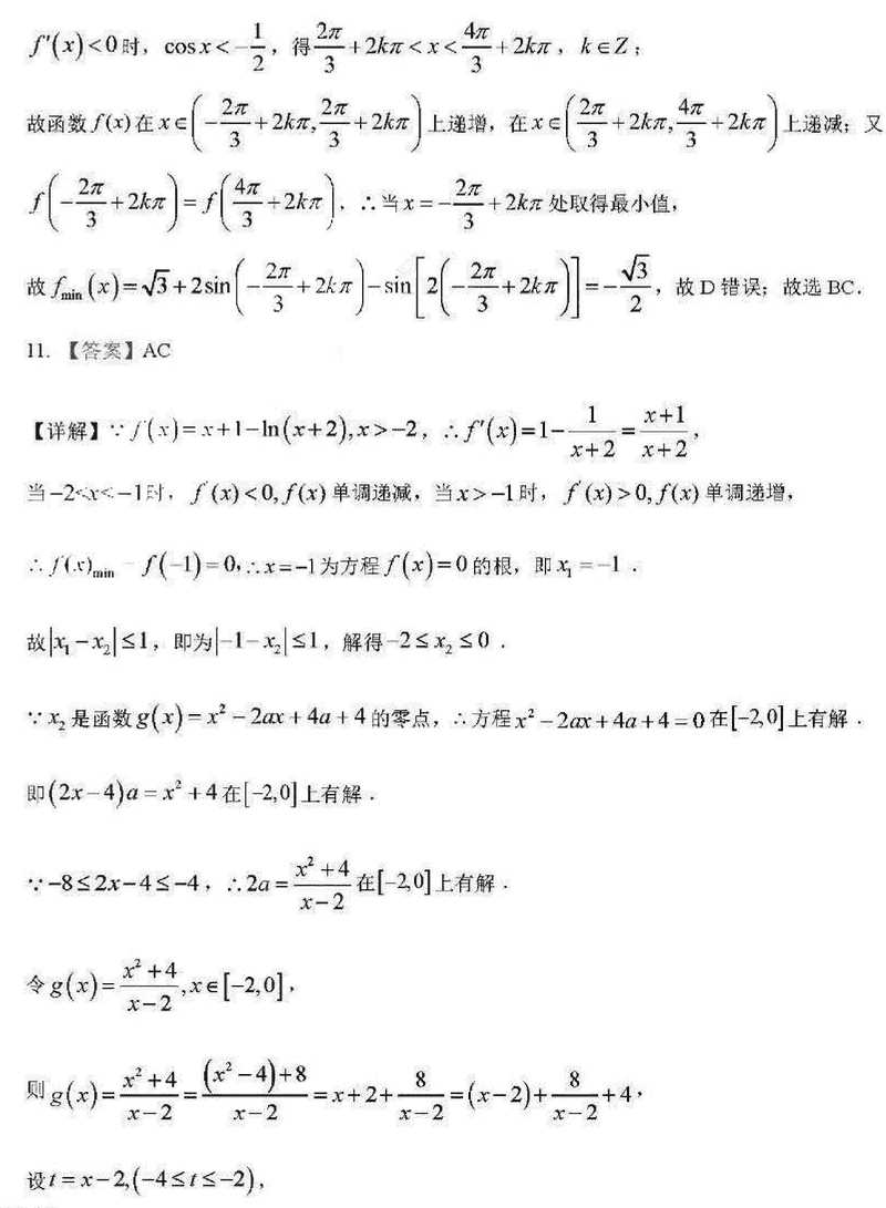
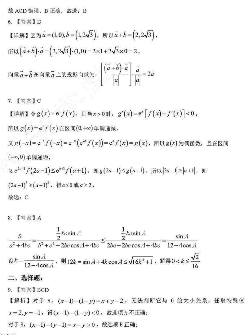
数学试题及答案解析